PRODUCT INFO
Explore key information about the chemical elements through this periodic table
Low-k
반도체 DRAM과 3D-NAND
제조 공정에서 사용되며,
CVD/ALD 공정을 통한 SiO2
박막 증착의 용도로 사용됩니다.
High-k
Tetraethyl orthosilicate
Diiodosilane
Trisilylamine
Diisopropylaminosilane
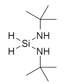
Bis(tert-butylamino)silane
Tris(dimethylamino)silane
Bis(diethylamino)silane